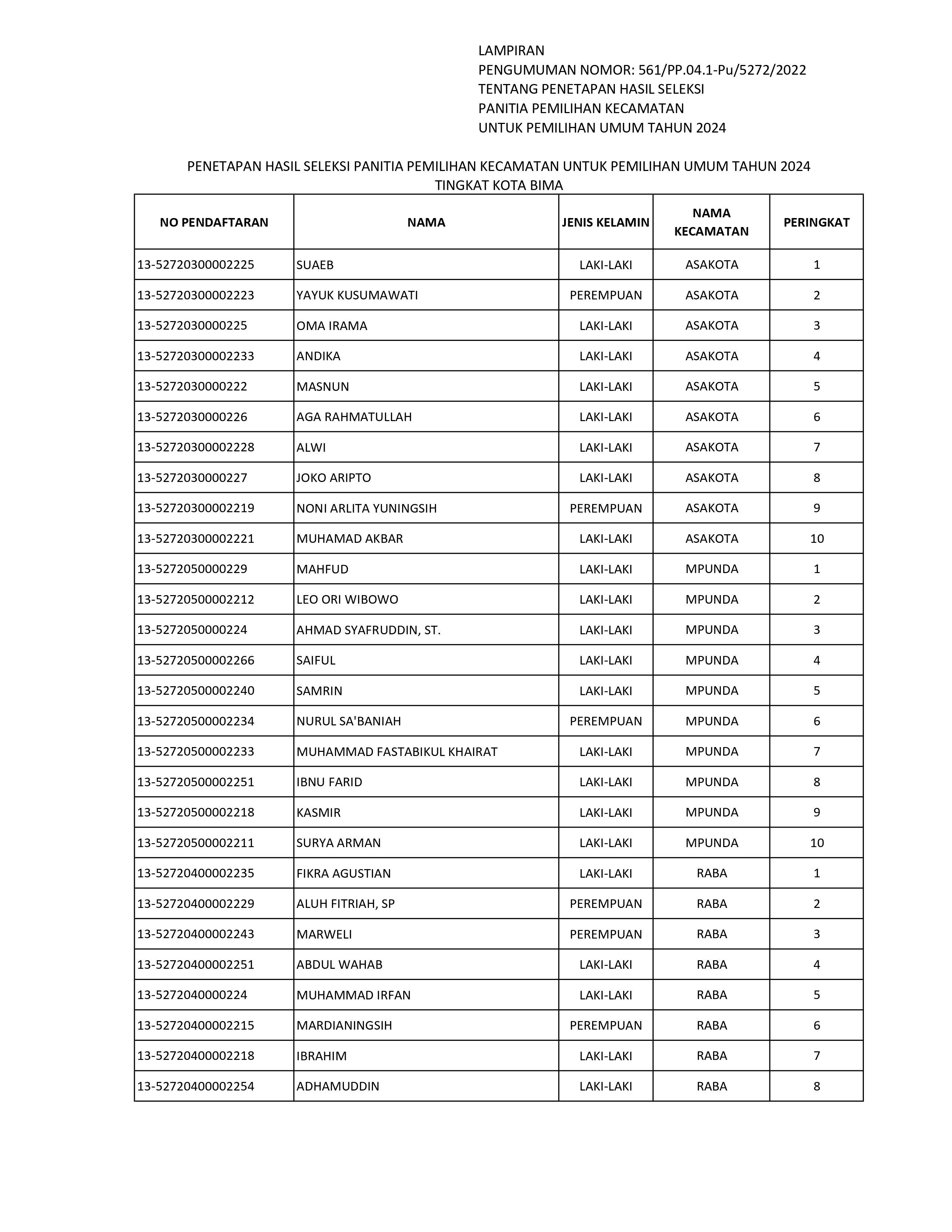
Berikut Kami sampaikan Penetapan Hasil Seleksi Panitia Pemilihan Kecamatan (PPK) untuk Pemilu Tahun 2024 Tingkat Kota Bima



Bagikan:
Dilihat 119 Kali.